在雷雨天气,高楼上空出现带电云层时,避雷针和高楼顶部都被感应上大量电荷,由于避雷针针头是尖的,所以静电感应时,导体尖端总是聚集了最多的电荷。这样,避雷针就聚集了大部分电荷。避雷针又与这些带电云层形成了一个电容器,由于它较尖,即这个电容器的两极板正对面积很小,电容也就很小,也就是说它所能容纳的电荷很少。而它又聚集了大部分电荷,所以,当云层上电荷较多时,避雷针与云层之间的空气就很容易被击穿,成为导体。这样,带电云层与避雷针形成通路,而避雷针又是接地的,避雷针就可以把云层上的电荷导入大地,使其不对高层建筑构成危险,保证了它的安全。
单只避雷针的保护范围应按下列方法确定(下图):

(1)当避雷针高度h小于或等于hr时:
①距地面hr处作一平行于地面的平行线;
②以针尖为圆心,hr为半径,作弧线交于平行线的A、B两点;
③以A、B为圆心,hr为半径作弧线,该弧线与针尖相交并与地面相切。从此弧线起到地面止就是保护范围。保护范围是一个对称的锥体;
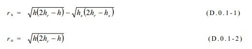
④避雷针在hx高度的xxˊ平面上和在地面上的保护半径,按下列计算式确定:

式中:rx——避雷针在 hx高度的xx′平面上的保护半径(m);
hr——滚球半径,按本规范表5.2.1确定(m);
hx——被保护物的高度(m);
r0——避雷针在地面上的保护半径(m)。
(2)当避雷针高度h大于hr时,在避雷针上取高度hr的一点代替单支避雷针针尖作为圆心。其余的做法同本款第(1)项。(D.0.1-1)和(D.0.1-2)式中的h用hr代人。
1、接闪杆宜采用热镀锌圆钢或钢管制成,其直径不应小于下列数值:
杆长1 m以下: 圆钢为12 mm; 钢管为20mm。
杆长1~2 m : 圆钢为16 mm; 钢管为25mm。
独立烟囱顶上的杆:圆钢为20mm;钢管为40mm。
2、接闪杆的接闪端宜做成半球状,其弯曲半径为最小4.8mm至最大12.7mm 。
3、当独立烟囱上采用热镀锌接闪环时,其圆钢直径不应小于12mm;扁钢截面不应小于100mm2,其厚度不应小于4mm。
4、 架空接闪线和接闪网宜采用截面不小于50 mm2 热镀锌钢绞线或铜绞线。
5、 在一般情况下,明敷接闪导体固定支架的间距不宜大于表5.2.6的规定。固定支架的高度不宜小于150mm。
下表 明敷接闪导体和引下线固定支架的间距
|
布置方式
|
扁形导体和绞线固定支架的 间距(mm)
|
单根圆形导体固定支架的 间距(mm)
|
|
安装于水平面上的水平导体
|
500
|
1000 |
|
安装于垂直面上的水平导体
|
500 |
100 |
|
安装于从地面至高20m垂直面上 的垂直导体
|
1000 |
1000 |
|
安装在高于20m垂直面上的垂直 导体
|
500 |
1000 |
《中国大百科全书》物理卷给出了避雷针的定义:“将雷电引向自身并泄入大地使被保护物免遭直接雷击的针形防雷装置。”避雷针实际上是用于“雷电拦截”。
避雷针的针状接闪器是直接承受雷电的部分,当带电的雷暴云出现在地面上空时,由于静电感应作用,大地及避雷针上将出现与雷暴云电荷极性相反的电荷。先导向下的发展是随机取向的,并不受地面物体上避雷针的存在的影响。但当阶梯式先导向下发展到邻近面,在避雷针的顶端处电厂将发生畸变,出现局部集中的高电场区。。使避雷针顶端处的电场强度明显高于其他地方,这就是先导向避雷针发展创造了十分有利的条件,因此,就能容易地将先导吸引到避雷针上,使雷击点出现在避雷针的顶端,而不致出现在其下面的物上,从而达到保护建筑物的目的。
1、设备质保政策,硬、软件升级承诺
所投设备质保期3年,质保期内除人为因素损坏外,免费更换和维修。
2、质保期后的维修、维护内容及服务方式、范围和收费
保修期后公司服务措施不变,进行设备维修是只收取材料成本费
3、售后服务与技术支持本地化
公司在全国各大地市设立办事处或分公司,并派驻专业技术和服务人员,完全实现售后服务和技术支持的本地化。
4、备品备机服务
公司为业主免费提供备品备机,置于公司驻地办事处。
5、发生事故造成人员、设备等损害后的赔付情况
公司对所提供的防雷产品均以投保质量责任险,在使用过程中,如因产品质量问题造成人身或设备损害的由保险公司负责统一赔付。
部分典型客户
中国人民银行南京分行
中国人民银行江苏省分行
中国人民银行内蒙古分行
中国人民银行全国各地分行
中国农业发展银行各分行
中国电信集团各地分公司
中国移动通信各地分公司
江苏省档案局
江苏省工商局
江苏省统计局
江苏省质技监纸张检验站
江苏省疾病控制与预防中心
江苏省教育厅教育考试院
华夏银行南京分行
南京市地方税务局
南京市妇幼保健院
南京海底世界
南京地铁公司
南京长城集团
南京晨光集团
南京政治学院
解放军理工大学(南京)
南京军区空军司令部
南京军区后方军械保卫库
上海宝钢集团南京梅山基地
中国石油化工集团江苏油田
扬子石化—巴斯夫有限公司
摩托罗拉(南京)有限公司
西门子电站自动化有限公司
西门子电力自动化有限公司
西门子数控(南京)公司
扬州柴油机有限责任公司
川奇光电(扬州)有限公司
常州市住房公积金管理中心
常州市房产局房产产权监理处
淮安市商业银行
徐州市商业银行
太仓港环保发电有限公司
安徽省人大
山东新华制药有限公司
长春市高新开发区管委会
深圳市南山区人民法院
深圳市盐田区人民法院
泗阳县人民检察院
泰兴市国家税务局
雷达斯产品设计咨询公司
三星电子(苏州)公司
日立环球存储设备公司
南京擎雷科技发展有限公司
Add:中国南京市高淳经济开发区科技区463号地块
中国 南京市白下区光华路唐家底37号楼(营销中心)
E-mail:safe@kinglead.cn